Отзывы о страховой компании «РЕСО-Гарантия»
Написать отзыв
Без оценки
ОСАГО

Калькуляция и квалификация оценщиков, вызывающие ряд вопросов

Дело № ПР 4627995. Являемся клиентами компании «РЕСО-Гарантия» уже много лет и, когда
пару недель назад оказались потерпевшими в ДТП, вполне естественно, обратились
по прямому возмещению в рамках ОСАГО именно в «свою» страховую, а не в компанию
виновника, так как, конечно же, «своей» доверяли больше. Как положено, обратились
в Центр выплат, там все оперативно оформили, эксперт осмотрел, сфотографировал и
описал повреждения более или менее так, как и ожидалось (не считая того, что возникшие
в результате ДТП скрытые дефекты при этом не учитываются, ведь останавливать ремонт и
повторно вызывать экспертов вряд ли является самым удобным и экономичным решением как
для клиентов, так и для самой страховой компании). Через неделю получили выплату и
калькуляцию, выполненную ООО «НЭК-ГРУП», которые и вызвали ряд вопросов, на которые,
надеюсь, нам сможет ответить уважаемая Вера Ивановна.

1. В списке запасных частей некорректно указаны каталожный номер, 84300-0N836
(для другой модификации) вместо 84300-0N837, и цена крышки багажника, на сайте exist.ru,
на который делается ссылка, данная деталь отсутствует, даже под заказ, на сайте 1001z.ru,
информацией с которого, насколько мне известно, также пользуются оценщики, привлекаемые
«РЕСО-Гарантией», минимальная цена при заказе за 35(!!) дней составляет 22,400.00 руб.
При этом, согласно п. 7.4.1. Методики Минюста РФ «стоимость новых деталей, узлов,
агрегатов и материалов определяется исходя из цен на оригинальные запасные части и
материалы в официальных представительствах предприятий-изготовителей,
средних рыночных цен, сложившихся в данном регионе...», т.е. цены должны указываться
среднерыночные, а не минимальные.

2. Износ заднего бампера установлен как 77,80%, в то время, как подобное значение может
быть установлено, согласно п.п. 4.17 и 4.19 Методики Минюста РФ, только в следующих случаях
— сквозная коррозия или следы ремонта кузовных элементов, трещины, сколы стеклянных,
пластмассовых деталей; деформации и/или частичное разрушение элементов; следы ремонта, не
относящиеся к данному происшествию; замена деталей в процессе эксплуатации,
если их износ значительно отличается от общего износа АМТС. При этом в отчете эксперта
указано лишь нарушение лкп в левой угловой части, что не может быть отнесено к
вышеуказанным случаям.

3. В стоимость работ не включены работы по снятию/установке, разборке/сборке, замене
заднего бампера, крышки багажника, фонаря заднего правого внутреннего, хотя, согласно
п.7.1.3. Методики Минюста РФ, они также должны учитываться при определении стоимости
ремонтно-восстановительных работ.

4. В стоимость работ не включены работы по окраске правого заднего крыла, заднего
бампера и крышки багажника. Ссылка на п.7.3.6 устаревшей Методики Минюста РФ 2000 г.
(который, кстати, тоже не запрещает включать окраску в состав работ при нарушении лкп)
представляется неправомерной в связи с существованием действующей Методики Минюста РФ 2007 г.,
о которой «эксперты» из ООО «НЭК-ГРУП», видимо, не знают. Тем не менее, п.7.3.7.
вышеуказанной Методики гласит:
" 7.3.7. Работы по окраске отдельных элементов кузова и оперения транспортных средств
не назначаются, если в результате осмотра транспортного средства установлены
следующие факты:
— на всем элементе до его повреждения отсутствовало ЛКП;
— в зоне повреждения элемента до его повреждения отсутствовало ЛКП;
— на элементе имеются следы сквозной коррозии."
В данном конкретном случае подобных фактов не установлено.

Как можно легко увидеть, все вопросы относятся к действиям «экспертов» и вызывают огромные
сомнения в их квалификации и компетентности. Так как данные «эксперты» не являются
сотрудниками самой страховой компании, формально СК не несет ответственности за их
«художества», однако очень хотелось бы, чтобы руководство «РЕСО» внимательнее
относилось к выбору привлекаемых для экспертной оценки компаний, так как их,
как в данном случае, непрофессионализм бросает тень на репутацию известной и уважаемой
компании и, в конечном итоге, приводит к потерям, превышающим сиюминутную экономию.

В этой связи, хотелось бы узнать мнение компании «РЕСО-Гарантия» о том как можно
урегулировать сложившуюся ситуацию, не прибегая к крайним мерам в виде судебных исков
или досудебных претензий.

Заранее благодарен за ответ.

Скорость выплат
Андрей Степанович, добрый день!

Благодарим за ожидание.

Ваш отзыв мы попросили прокомментировать руководителя независимой экспертизы, производившей расчет по заявленному Вами страховому событию.
Каталожный номер крышки багажника соответствует VIN-номеру Вашего автомобиля, при заполнении соответствующей ячейки на сайте exist.ru выдается полная информация по Вашему автомобилю.

Каталожный номер H43000N837 является устаревшим, был заменен заводом-изготовителем на новый артикул H4300-0N836.
В настоящее время можно произвести заказ указанной запчасти со сроками поставки 13 дней.

Средняя цена крышки багажника на Ваш автомобиль варьируется около 9-10 тысяч рублей.

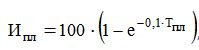
Расчет износа выполнен в соответствии с требованиями Постановления Правительства Российской Федерации от 24 мая 2010 г. № 361 г. Москва «Об утверждении Правил установления размера расходов на материалы и запасные части при восстановительном ремонте транспортных средств».
Износ комплектующих изделий, изготовленных из пластмассы, рассчитывается по следующей формуле:

(Формула 1 в комментариях),

где:
Ипл — износ комплектующего изделия, изготовленного из пластмассы (процентов);
е — основание натуральных логарифмов (е ≈ 2,72);
Тпл — возраст комплектующего изделия, изготовленного из пластмассы (15,05 лет).
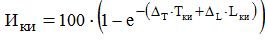
Износ остальных комплектующих изделий (деталей, узлов и агрегатов) транспортного средства рассчитывается по следующей формуле:
(Формула 2 в комментариях),

где:
Ики — износ комплектующего изделия (детали, узла и агрегата) (процентов);
е — основание натуральных логарифмов (е ≈ 2,72);
∆T — коэффициент, учитывающий влияние на износ комплектующего изделия (детали, узла и агрегата) его возраста (∆T = 0,036);
Тки — возраст комплектующего изделия (детали, узла и агрегата) (15,05 лет);
∆L — коэффициент, учитывающий влияние на износ комплектующего изделия (детали, узла и агрегата) величины пробега транспортного средства с этим комплектующим изделием (∆L = 0,0016);
Lки — пробег транспортного средства с комплектующим изделием (деталью, узлом и агрегатом) (162594 километра).
Значения коэффициентов ∆T и ∆L для различных видов транспортных средств приведены в приложении к Постановлению № 361.

В связи с чем расчетный износ для Вашего автомобиля 1998 года выпуска с пробегом 162 594 км составляет — 77,80%.
В соответствии с действующими Правилами ОСАГО и ФЗ-40 ТС должно быть приведено в состояние, в котором оно находилось до ДТП.
В соответствии с Актом осмотра Ваш автомобиль имеет множественные дефекты эксплуатации, что является нормальным для автомобиля с учетом его года выпуска.

По деталям имеющим нарушение ЛКП, отсутствие ЛКП, очаговую коррозию, т.е. в соответствии с технологией ремонта предприятия-изготовителя, требующих полной или наружной окраски, и в соответствии же с технологией ремонта снятия/установки, разборки/сборки препятствующих окраске деталей, данные работы были из расчета исключены (п. 7.3.1 Методики 2007г).
Оценщиком были определенны необходимые объем, виды и способы ремонтных работ в зависимости от характера и степени повреждения и состояния (коррозионного разрушения) отдельных деталей, с учетом необходимости проведения работ по разборке/сборке, подгонке, регулировке, окраске, и пр. для приведения ТС в состояние, в котором оно находилось до ДТП.

Надеемся, что представленная информация будет для Вас полезной.

Мы понимаем, что размер выплаченного Вам страхового возмещения не оправдал Ваши ожидания. Однако выплата страхового возмещения Вам произведена в четком соответствии с действующим законодательством по ОСАГО.

С уважением,
_________________________________
Вера Ивановна Лабур
Заместитель начальника Управления качества обслуживания клиентов.
Начальник отдела по работе с отзывами ОСАО «РЕСО-Гарантия»

26.07.13
Андрей Степанович, добрый день!

Мы направили запрос по Вашему выплатному делу руководителю независимой экспертизы.

По результату проинформируем Вас дополнительно.

С уважением,
_________________________________
Вера Ивановна Лабур
Заместитель начальника Управления качества обслуживания клиентов.
Начальник отдела по работе с отзывами ОСАО «РЕСО-Гарантия»
3 комментария
3 комментария
  • Владимир (гость)
    08:59

    Никак. Ждите отписку (пустышку, да ещё с прямо лживыми обоснованиями), или сразу делайте свою экспертизу (5 дней с момента подачи всех документов на выплату прошло) и в суд. Если удастся подать исковое по закону о защите прав потребителей (много судов сейчас их охотно берут, а областные их поддерживают, как правило, что бы там прикормленные в пресненском суде «юристы» не кричали), не забудте 50% штраф в вашу пользу.
    Если будет судебная экспертиза (за счет РЕСО, сами не просите — у вас уже есть независимая экспертиза) — подправьте потом исковые требования под её результаты (чтобы ещё и 100% судебных издержек взыскать).
    На мировое в суде НЕ СОГЛАШАЙТЕСЬ, иначе останетесь без десерта.
    Плюс, после полной выплаты — исковое по 395 ГК РФ (именно после, чтобы срок определить по фактическому исполнению обязательств в выплате, а не на дату вынесения первого решения). Там копейки, но можно хорошо взыскать опять же, судебные издержки.
    У меня как раз сегодня суд, будем взыскивать даже чуть больше стоимости ремонта у оф. дилера, хотя машина уже не на гарантии (это стало возможным как раз из-за упоротости РЕСО). По результатам моего и ещё нескольких дел будет целый портал анти-ресо.

  • Лабур Вера Представитель СК
    15:57

    Формула 1

    photo

  • Лабур Вера Представитель СК
    15:57

    Формула 2

    photo

Оставить комментарий
Система Orphus
ВОЙТИ НА САЙТ
РЕГИСТРАЦИЯ
Нажимая кнопку «Зарегистрироваться», я даю согласие на обработку персональных данных
Восстановление пароля